Tutorial: Explore Three Coupling Methods with Flux

Compare three coupling methods between Activate and Flux using co-simulation, lookup tables and FMUs.

Co-Simulation Method
This is a dynamic approach in which Flux and Activate run simultaneously to produce very accurate results at the cost of a longer run time. The co-simulation is initiated from Activate between the Activate model Actuator_Coupling.scm and the 2D transient magnetic Flux model MultiPhysics.FLU. The co-simulation is dependent on the kinematics that is defined in Flux 2D through the analysis option, multi-physics position. The Flux model provides values to the Activate model including force, current and speed through the Flux block in the coupling component. In Activate, the Flux block is defined to receive values for position and voltage as input.
Lookup Table Method
This approach includes two separate simulations: The first includes opening the FEA model Static_no_solved.FLU in Flux and running an analysis in magneto-static mode. Simulation results for Current, Position and Flux are produced as .oml script files. A second simulation is performed in Activate where the Flux results are read in from the .oml script files by way of a Lookup Table ND in the Activate model.
FMU Method
This approach includes two separate simulations: The first includes opening the FEA model Static_no_solved.FLU in Flux and running an analysis in magneto-static mode. Simulation results for Current, Position and Flux are exported as Functional Mock-up Unit files. A second simulation is performed in Activate where the Flux results are imported from the .fmu files by way of an FMU Import block.

Files for This Tutorial

Primary files include: MultiPhysics.FLU (the Flux contactor model file), Actuator_Coupling.scm (the Activate model file) and Static_no_solved.FLU (the Flux lookupND table)

A finished version of the models you build in the tutorials along with any files required to complete the tutorials are available at this location: <installation_directory>/tutorial_models/Flux_Actuator_Variants and are accessible from the Demo Browser.
ImportantColonSymbol The co-simulation process requires that the FLUX .FLU and .F2STA files be located in the same working directory. When naming the working directory, avoid spaces and special characters as Flux cannot recognize them.

Overview of the Flux Projects

The Flux projects with all of the required files for each of the simulation methods discussed in this tutorial are available from the Demo Browser: /tutorial_models/Flux_Actuator/.

Flux Applications
  • Magneto Static
  • Transient Magnetic
Flux Main Functions
  • Translation motion, Mechanical set (For more details, see Flux Supervisor examples in the Flux help)
  • Kin. = multi-static application and multi-physics position
  • Generate OML
  • Generate Activate coupled component
  • Generate FMU
Flux Post-Processed Quantities
  • Magnetic quantities
  • Kinematic quantities
  • Circuit quantities
  • 2D curve analysis
Flux Contactor (Trident) Model
The main Flux contactor model MultiPhysics.FLU is comprised of three main components:
  • A lower grip, ferromagnetic fixed part
  • An upper grip, ferromagnetic (laminated) moving part assembled on springs
  • A coil placed around the central tooth
Python Files for Flux Projects
The Flux project folders contain the completed Flux results for all three simulation methods. If you want to experiment with launching the simulations on your own or if you want to use your own coupling file, the Python files for you to do so are available in the Flux projects for all three simulation methods:
  • Co-simulation = Coupling_Component.py
  • OML = Generate_OML.py
  • FMU = Generate_fmu.py

Overview of the Activate Model Files

Activate Coupling Model
Figure 1. Actuator_Coupling.scm
Electric Circuit
The purple CIRCUIT super block in the coupling model is comprised of four main components:
  • a controlled switch that opens and closes based on voltage
  • a resistor that serves to prevent short circuiting
  • a current and voltage input
  • a voltage output sensor
Regulation Command

A simple regulation command in the coupling model is included in the light green Hysteresis block. Here the model is dependent on the active regulation of time.



Active Regulation
In the red ACTIVE REGULATION super block, we compare two values and use this to activate the Hysteresis regulation.


Mechanical Equation
The bright green super block, MECHANICS, includes Modelica blocks to simulate the mechanical part of the device and position the actuator.


ElectroMag Super Block

The ElectroMag super block (yellow) of the Activate Coupling model (Actuator_Coupling.scm) contains the electromagnetic component of the model and consists of the Include Diagram block (red) and three additional super blocks: Cosimulation with Flux (blue), Lookup TableND from Flux (green) and FMU from Flux (pink) that you see in the following diagram. The Include Diagram block defines which super block to call into play depending on which simulation method you specify through the Mode variable. The super blocks are inactive otherwise.



Model Variants

The Activate model Actuator_Coupling.scm is configured to implement three methods of simulating the Flux contactor with and Activate actuator in one model. In practice, to drive the three variants, one variable is defined in the Initialization phase for the model. This variable is named Mode and can be set to 1, 2 or 3.


The Mode variable is used in the IncludeDiagram block to determine which of the three super blocks to include in the simulation.
Inclde Diagram block set defined for Mode 2

Co-Simulation Method

In Activate, open the model Actuator_Coupling.scm.

In the super block Cosimulation with Flux, the Flux block performs the co-simulation by reading in the coupling component that was generated using the Flux 2D transient application file MultiPhysics.F2STA.





Look-Up Table Method

In Activate, open the model Actuator_Coupling.scm.

The super block Actuator_Coupling#menucascade-separatorElectroMag#menucascade-separatorLookup Table from Flux includes a context to read in the results exported from a magnetostatics simulation in Flux.





The Flux results are exported as two .oml files FLUX.oml and FORCE.oml. These files are available in the Flux project folder and are directly read in from the Activate model. In the following image, the super block Lookup Table from Flux includes the yellow blocks LookupTableND and LookupTableND_1 which load FLUX.oml and FORCE.oml respectively.



The context of this diagram includes the directions for the FLUX.oml and FORCE.oml files to be read into the super block.



In the Lookup TableND dialog, the field Table data calls the OML variable FLUX from the FLUX.oml file as an interpolated function of the two vectors CURRENT and LINPOS_TRANSLATION_PART.


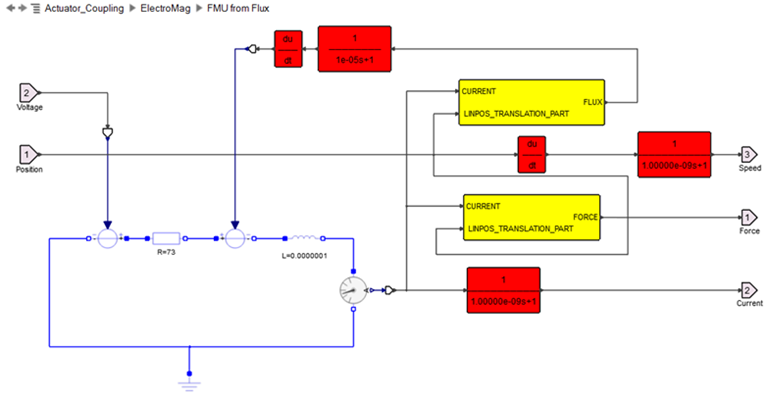
FMU Method

In Activate, open the model Actuator_Coupling.scm.

The super block Actuator_Coupling#menucascade-separatorElectroMag#menucascade-separatorFMU from Flux includes a context to read in the results exported from a Flux 2D magnetostatics simulation.

The Flux results are exported as two .fmu files: FLUX.fmu and FORCE.fmu. The steps in Flux to export the .fmu files are indicated in the following dialogs:





The .fmu files are available in the Flux project folder and are directly read in from the Activate model. In the super block FMU from Flux, the yellow blocks are FMU and FMU_1 that load FLUX.oml and FORCE.oml respectively.



The Functional Mockup Interface standard is an important gateway to other products. In this tutorial, the use of either a Lookup Table or an FMU are almost identical and are meant to illustrate various features of Flux and Activate.



Simulation Results

Mode 1: Co-Simulation Method

With the co-simulation method, a Flux transient (dynamic) analysis is run directly from Activate through the coupling component from Flux. This type of simulation is slow but can account for Eddy current effects in massive iron conductors. The added value of the Flux-Activate co-simulation coupling is the accuracy of the results with the inclusion of the Eddy currents. In this case, the type of kinematics in the mechanical rotor is multiphysics position. Note that the value of the initial position must be determined in order to obtain the correct results.


Co-Simulation results with the evolution of current, position, speed and force as a function of time

Mode 2: OML Method

The aim of this method is to build an accurate reduced model (based on the Finite Element model) of the linear actuator. Accuracy and quick simulation with Activate are the biggest advantages of this approach. The linear actuator behavior is represented by the flux in the coil and the force which are calculated with a finite element method. First, through the Flux simulation, the response surface of flux and force is computed. In a first approximation, the variation parameters are Current and Position. This response surface is used in Activate.


OML Method Results with the evolution of current, position, speed and force as a function of time

Mode 3: FMU Method

The FMU block enables the import and simulation of an FMU as an Activate block. The FMU can be of type Model-Exchange (ME) or Co-Simulation (CS). Both version 1.0 and 2.0 are supported. Inputs and outputs can be of Real, Integer, Boolean or String data types. Only scalar input and output are supported. The aim of this method is to build an accurate reduced model (based on the Finite Element model) of the linear actuator. Accuracy and quick simulation with Activate are the biggest advantages of this methodology. The linear actuator behavior is represented by Flux in coil and force which are calculated with a finite element method. In Flux, a simulation is run with a finite element method to compute the response surface of the flux and force. In a first approximation, the variation parameters are Current and Position. Once the simulation is finished, an FMU file is generated. This FMU is then used in Activate.


FMU Method Results with the evolution of current, position, speed and force as a function of time

Results Comparison

Aside from the varying peaks between the three methods: co-simulation in blue, OML in red and FMU in turquoise, the results are very similar. The small variance is due to the different interpolation methods applied to run simulations on reduced models for the OML and FMU methods.



Results comparison of the three simulaiton methods