Heat Transfer Coefficients (HTC) Correlations
The following sections describe the available heat transfer correlations (HTCs) in Flow Simulator. Correlation equations and literature references are included. All HTC options appear in the 1D-Thermal Convection Resistor. In addition, the duct flow HTC options appear in the Tube/Pipe flow elements and the Advance Orifice flow element.
| Nomenclature: | Subscripts: |
| Nu: Nusselt Number | lam: Laminar Regime |
| Re: Reynolds number | turb: Turbulent Regime |
| Pr: Prandtl multiplier | tran: Transition Regime |
Heat Transfer Correlations:
Lapides-Goldstein:

Dittus-Boelter:

Sieder-Tate:

Gnielinski:

Bhatti-Shah:

External Heat Transfer:
The following section lists Crossflow Convection and Free Convection configurations that are available in Flow Simulator. These options are primarily used by connecting a 1D Thermal Convection Resistor to an internal chamber in the flow path.
Colburn (Plate in Cross Flow):

Churchill-Bernstein (Cylinder in Cross Flow):

McAdams (Vertical Prism in Free Convection):

Horizontal Plate in Free Convection:


Churchill-Chu(Horizontal Cylinder in Free Convection):

Where:
Gr: Grashof number
Douter: Cylinder outside diameter
ρ: Fluid bulk density
μ: Fluid film viscosity
GRAV: Earth Gravity
β: Fluid bulk compressibility factor
Note: Valid for 106 < (Gr*Pr) < 1012
Turbulent Duct Flow Entrance Effects
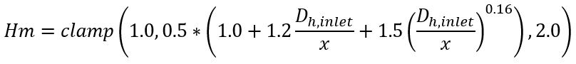
The following entrance effects correlations compute an HTC multiplier called Hm. HTC multiplier has limits and must be greater than unity. The Local option resolves heat transfer correctly for all x locations along the axial length of a pipe. The Averaged options use total pipe length L as the input. They correctly predict overall heat transfer, but not local temperature variation.
Abrupt Contraction, Local x
![]()
Uniform Bellmouth, Local x
![]()
Abrupt Contraction, Averaged L

Uniform Bellmouth, Averaged L
![]()
Uniform Blend, Local x
![]()
Uniform Blend, Averaged L
![]()
Laminar Duct Flow HTC correlations
The following Laminar HTC options are available in Flow Simulator. It is worth noting that Laminar HTCs depend on distance from inlet x, and thus do not need a special Entrance Effects multiplier.
Muzychka-Yovanovich:



Hausen:
