Magnéto Statique : sources non maillées (spécificité 3D)

Introduction

Dans le modèle scalaire, Flux 3D autorise l'introduction de sources magnétiques non maillées (bobines non maillée, ou champ magnétique source).

Définitions

Bobine non maillée :

Une bobine non maillée est une entité géométrique de forme circulaire, rectangulaire ou de forme plus complexe, qui se superpose au maillage et lui est indépendante.

Le calcul du champ magnétique créé par la distribution de courant est réalisé à l'aide de la loi de Biot et Savart de façon analytique (ou semi-analytique), comme présenté ci-après.

Champ magnétique source :

Un champ magnétique source est un champ magnétique externe (par exemple le champ terrestre) qui se superpose au champ magnétique interne, créé au sein du dispositif.

Sa valeur est imposée par l'utilisateur.

Bobine non maillée : principe du calcul

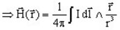
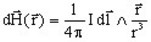
En l'absence de tous matériaux magnétiques, le champ magnétique créé en un point de l'espace par un conducteur filiforme parcouru par un courant constant I est donné par la relation :

où r est la distance entre l'élément (où circule le courant) et le point où on considère le champ magnétique.

Pour des distributions volumiques ou surfaciques de courant, l'expression de la loi de Biot et Savart doit être réécrit. Le terme devient pour un courant surfacique et pour un courant volumique. Les intégrations sont alors réalisées suivant la surface ou le volume du conducteur.

L'expression analytique du champ H est connue pour des distributions bien particulières de courants (fil rectiligne, nappe rectiligne, spire circulaire...).

Pour des distributions de courant plus compliquées, le calcul est réalisé après décomposition en éléments plus simples.

Sources magnétiques non maillées et potentiel scalaire magnétique

Le champ magnétique créé par les sources non maillées (bobines non maillées, ou champ magnétique source) est noté Hj. Il correspond au champ Hj introduit précédemment (cf. § Magnéto Statique : équations résolues (modèle scalaire) )

Pour recouper avec ce qui a été dit précédemment :

  • Dans l'équation résolue en potentiel scalaire magnétique réduit par rapport à Hj ( ) les sources sont des sources non maillées et le champ Hj est le champ créé par celles-ci.
  • Dans l'équation résolue en potentiel scalaire magnétique réduit par rapport à T0 ( ) les sources peuvent être maillées et/ou non maillées ; le potentiel vecteur électrique s'écrit (où est la densité de courant dans les conducteurs maillés et est le champ créé par les sources non maillées).