Magnéto Statique : équations résolues (modèle vecteur 2D)

Introduction

Le modèle vecteur est le modèle général proposé pour une application 2D.

Ce modèle est utilisé par défaut (en automatique) par :

  • le solveur 2D de Flux 2D
  • le solveur 3D de Flux 3D pour la résolution d'une application 2D

Equation résolue en modèle vecteur (2D)

La conservation du flux : , permet d'introduire un potentiel vecteur magnétique tel que : .

L'équation résolue par la méthode des éléments finis dans une application Magnéto Statique par la méthode des éléments finis s'écrit :

où:

  • r] est le tenseur de réluctivité magnétique relative du milieu
  • ν0 est la réluctivité magnétique du vide; ν0 = 1/μ0 = 1/(4 π 10-7) (en m/H)
  • est le potentiel vecteur (en Wb/m)
  • est le champ coercitif (aimants) (en A/m)
  • est la densité de courant source (en A/m2)

Variable d'état modèle vecteur (2D)

La variable d'état est le potentiel vecteur magnétique .

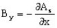
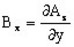
Le champ magnétique B s'écrit :

soit : ; ;

En 2D, le potentiel vecteur a une seule composante non nulle, la composante normale au plan de la figure An (ou Az).

Le champ magnétique B s'écrit : ; ;

La variable d'état, en fonction du type de problème (plan ou axisymétrique), est donnée dans le tableau ci-dessous.

Type de problème Variable d'état

Notation

(dans Flux 3D)

plan An AN1*
axisymétrique rAn RAN1*
Note: * L'indice 1 signifie que la grandeur est une grandeur réelle.