Effet de peau et maillage

Effet de peau : rappel

L'expression effet de peau (ou effet pelliculaire) est relative aux phénomènes qui se produisent quand un conducteur est parcouru par un courant électrique dépendant du temps.

A haute fréquence, les courants n'utilisent pas toute la section du conducteur mais se cantonnent dans les couches externes proches de la surface du conducteur. Il y a donc concentration des lignes de courant vers la surface extérieure du conducteur.

Ceci se produit lorsque soit la fréquence (f), soit la perméabilité (μ), soit encore la conductivité (σ) sont élevées.

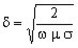
Epaisseur de peau : définition

L'épaisseur moyenne δ de la « peau » dans laquelle circulent les courants peut être estimée à l'aide de la formule :

(pour un matériau linéaire, homogène et isotrope)

où :

  • ω est la pulsation du signal (ω =2 π f)
  • μ est la perméabilité du milieu
  • σ est la conductivité du milieu

Maillage de la « peau » : règle à respecter

Les grandeurs physiques comme le courant, ou le champ magnétique ont une décroissance exponentielle dans l'épaisseur de peau.

Pour avoir une estimation correcte des grandeurs physiques dans l'épaisseur de peau à la surface du conducteur : il faut au moins deux couches d'éléments (du second ordre) dans l'épaisseur de peau.

Un exemple de maillage de la peau est présenté

sur la figure ci-contre.

!!! Effet de peau très prononcé !!!

Si l'effet de peau est très prononcé, des difficultés de maillage apparaissent. En effet, il devient alors difficile de respecter la règle de maillage précédente sans augmenter démesurément le nombre d'éléments.

On parle d'effet de peau très prononcé lorsque la profondeur de pénétration du champ (épaisseur de peau δ) devient très petite par rapport aux dimensions caractéristiques des conducteurs : δ <<L, r (où L est la longueur ou la largeur, et r un des rayons de courbure du conducteur).

Pour une application 3D, cf. § Condition d'impédance de surface (spécificité 3D).