Supraconducteur : modèles avec dépendance en T
Loi en puissance avec dépendances en T
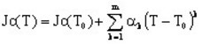
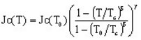
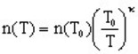
La densité de courant critique Jc et l'exposant n sont des grandeurs qui dépendent de la température T .
La forme générale de l'équation précédente est donc la suivante :
(3)
où :
- Ec est le champ électrique critique (en V/m)
- Jc(T) est la dépendance en T de la densité de courant critique (ci-après)
- n(T) est la dépendance en T de l'exposant (ci-après)
- ρ0 est la résistivité additionnelle (en Ω.m)
La dépendance en T de Jc et n peut s'écrire à l'aide de différents modèles comme cela est présenté dans les tableaux ci-dessous.
| Dépendance « théorique » | |
|---|---|
|
|
| 5 paramètres supplémentaires : T0 Tc δ γ κ | |
| Dépendance « pratique » | |
|---|---|
|
|
| 2 m+1 paramètres supplémentaires : T0 et les αk βk | |