Coefficient de température

Introduction

Les modèles proposés pour les courbes B(H) dépendant de la température , avec décroissance exponentielle, sont définis à l'aide :

  • des modèles précédents proposés pour les matériaux doux
  • d'un coefficient de température COEF(T) construit sur la base de deux fonctions exponentielles (description détaillée dans les blocs suivants)

Le coefficient de température

Le coefficient de température COEF(T) est une fonction définie par deux exponentielles :

  • une première exponentielle, à courbure négative, est utilisée lorsque ce coefficient est compris entre 1 et 0.1 (T < T 1 )
  • une seconde exponentielle, à courbure positive, est utilisée au voisinage du point de Curie, lorsque ce coefficient est compris entre 0.1 et 0 (T > T 1 )

L'allure du coefficient de température est représentée sur la figure ci-dessous.

Modèle mathématique

Le coefficient de température COEF(T) est défini de la façon suivante :

pour T < T1 :

avec T1 tel que COEF1(T1) = 0.1

ce qui peut également s'écrire T1 -Tc =C ln 0.9

pour T > T1 :

avec T2 tel que le raccordement des deux exponentielles s'effectue en T1, c'est à dire COEF2(T1) = 0.1

ce qui peut également s'écrire T2 - T1 =0.1C ln 0.1

où :

  • Tc est la température de Curie (en °C)
  • C est une constante de température (en °C)

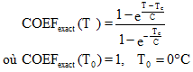
Expression mathématique exacte

L'expression de COEF(T) utilisée ci-dessus entre 1 et 0,1 est approchée. L'expression exacte est :

Comme Tc est grand, de l'ordre de 1000 K, on utilise l'approximation :

Et à Td0 = 0°C :

Exemple

L'allure de la fonction COEF(T) est représentée sur la figure ci-dessous.

La décroissance la fonction COEF(T) est plus ou moins rapide suivant la valeur de la constante de température C fournie par l'utilisateur.