Superconductor: models with dependence on T
Power law with dependences on T
The critical current density Jc and the exponent n are the quantities that depend on the temperature T.
The general form of the previous function is thus the following one:
(3)
where:
- Ec is the critical electric field [V/m]
- Jc(T) is the dependence on T of the critical current density (see below)
- n(T) is the dependence on T of the exponent (see below)
- ρ0 is an additional resistivity [Ω .m]
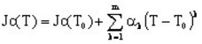
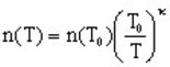
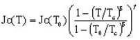
The dependence on T of the quantities Jc and n can be expressed using different models as that is presented in the tables below.
| Theoretical dependence | |
|---|---|
|
|
| 5 additional parameters: T0 Tc δ γ κ | |
| Practical dependence | |
|---|---|
|
|
| 2 m +1 additional parameters: T0 and αk βk | |