Superconductor: models with dependence on B
Power law with dependences on B
The critical current density Jc and the exponent n are the quantities that depend on the magnetic flux density B.
The general form of the previous function is thus the following one:
(3)
where:
- Ec is the critical electric field [V/m]
- Jc(B) is the dependence on B of the critical current density (see below)
- n(B) is the dependence on B of the exponent (see below)
- ρ0 is an additional resistivity [Ω.m]
The dependence on B of the quantities Jc and n can be expressed using different models as that is presented in the tables below.
| Isotropic dependence, Kim-Anderson model | |
|---|---|
|
|
|
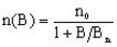
| 2 additional parameters: BJc and Bn | |
| Anisotropic dependence, Kim-Anderson model | |
|---|---|
|
|
|
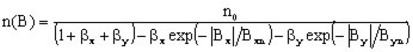
| 4 additional parameters: BxJc ByJc and Bxn Byn | |
| Isotropic dependence, exponential function | |
|---|---|
|
|
| 4 additional parameters: α β BJc and Bn | |
| Anisotropic dependence, exponential function |
|---|
|
|
| 8 additional parameters: αx αy βx βy BxJc ByJc and Bxn Byn |
| Isotropic dependence, polynomial function | |
|
|
|
| 2 m additional parameters: αk βk | |