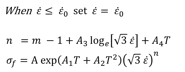
Norton-Hoff Model

Temperature, strain, and strain rate dependent Norton-Hoff model used in HyperXtrude is given by the following expression.



Workpiece Aluminum {
  ConstitutiveModel = "PowerLaw"
  Density = ρ
  SpecificHeat = Cp (T)
  Conductivity = K (T)
  CoeffOfThermalExpansion = βT
  VolumetricHeatSource = Qvol
  Amplitude = μ0
  ConstantY = Y
  StressRateHardeningExponent = m
  ReferenceTemperature = T0
  SolidusTemeprature = Ts
  LiquidusTemeprature = T1
  TemperatureDependence = "Exp (A1T+A2T^2)"
  StrainOffset = ε
  TemperatureConstantA1 = A1
  TemperatureConstantA2 = A2
  TemepratureConstantA3 = A3
  TemperatureConstnatA4 = A4
  YoungModulus = E
  PoissonRatio = ν }