Hensel Spittel Model
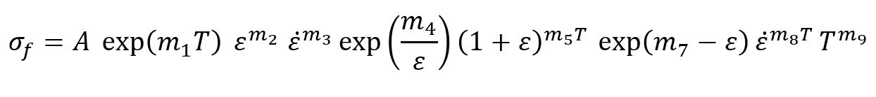
Temperature, strain, and strain rate dependent Hensel Spittel model used in HyperXtrude is given by the following expression. It has a built-in temperature dependence in the equation and it is used all the time.

| Workpiece Aluminium { | ||
| ConstitutiveModel = | "HenselSpittel" | |
| Density = | ρ | |
| SpecificHeat = | Cp(T) | |
| Conductivity = | K(T) | |
| CoeffOfThermalExpansion = | βT | |
| VolumetricHeatSource = | Qvol | |
| ReferenceTemperature = | T | |
| LiquidusTemperature = | Tl | |
| SolidusTemperature = | Ts | |
| Coefficient_A = | A | |
| Coefficient_m1 = | m1 | |
| Coefficient_m2 = | m2 | |
| Coefficient_m3 = | m3 | |
| Coefficient_m4 = | m4 | |
| Coefficient_m5 = | m5 | |
| Coefficient_m7 = | m7 | |
| Coefficient_m8 = | m8 | |
| Coefficient_m9 = | m9 | |
| MinStrainLimit = | 0.5 | |
| MaxStrainLimit = | 5.0 } |