Lois de comportement et équations constitutives : définition
Introduction
La résolution d'un problème électromagnétique passe par la résolution d'un ensemble d'équations :
- d'une part les équations de Maxwell qui constituent l' ossature de la théorie
- d'autre part les équations constitutives de la matière qui expriment les propriétés des matériaux
Conseil de lecture
Les équations de Maxwell sont présentées dans les chapitres relatifs aux applications magnétiques et électriques : Applications magnétiques : principes et Applications électriques : principes.
Les équations constitutives de la matière, quant à elle, font l'objet de ce chapitre.
Équations constitutives
Les équations constitutives de la matière sont les relations qui définissent les différents milieux : milieu conducteur, magnétique, diélectrique ou thermique (par conductivité thermique ou par capacité calorifique).
Elles sont présentées dans le tableau ci-dessous.
| Milieu | Relation | Propriété du milieu |
|---|---|---|
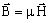
| magnétique |
|
μ : perméabilité (H/m) |
| diélectrique |
|
ε : permittivité (F/m) |
| conducteur |
|
σ : conductivité ( Ω-1.m-1 ) |
| thermique (conductivité thermique) |
|
k : tenseur de conductivité thermique (W/m/degré) |
| thermique (capacité calorifique) |
|
ρCp(T) : capacité calorifique volumique (J/m3/degré) |
Dénomination
Ces relations sont appelées respectivement :
- (1) lois de comportement magnétique
- (2) lois de comportement diélectrique
- (3) lois de comportement électrique ou loi d'Ohm locale
- (4) lois de comportement thermique par conductivité
- (5) lois de comportement thermique par capacité calorifique