チュートリアル:ハイブリッドモデルのシミュレーション
離散信号と連続線形システムを含む簡単なハイブリッドモデルをモデル化してシミュレーションを行う方法を学習します。
このチュートリアルのファイル
HybridSystem.scm
概要
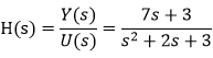
このチュートリアルのモデルでは、連続時間線形システムの入力として与えられる矩形波信号を生成するためのDiscreteDelayブロックを含んでいます。この連続時間線形システムは、ContTransFuncブロックを用いて伝達関数として表現できます。Scopeブロックは、このシステムの出力をプロットします。



離散信号の構築
DiscreteDelayブロックを使用して離散信号を構築します。
連続伝達関数の作成
ContTransFuncブロックを使用して連続線形システムを表現します。
ハイブリッドモデルのシミュレーション
シミュレーションパラメーターを設定して、シミュレーションを実行します。
シミュレーションデータの確認
Scopeブロックで生成されたプロットのデータを調べます。














