Tutorial: Simulating a Simple Model

Learn how to simulate and review results for the model SineIntegral.scm.

Files for This Tutorial

SineIntegral.scm

A finished version of the models you build in the tutorials along with any files required to complete the tutorials are available at this location: <installation_directory>/tutorial_models/.

Setting Block Parameters

Set parameters for the SineWaveGenerator block.

  1. Load the model SineIntegral_practice.scm that you created in the tutorial, Tutorial: Creating a Simple Block Diagram, or from the tree in the Demo Browser, select tutorial_models/SineIntegral.scm
  2. On the SineWaveGenerator block, shown highlighted in the following figure, double-click, or right-click, and from the context menu, select Parameters.
  3. For the parameter Phase(rad), enter pi/2, and then click OK.
    The value you enter shifts the sine wave by a quarter period to obtain a cosine wave.

Setting Simulation Parameters

Define the simulation time parameters for the analysis.

  1. On the ribbon, hover over the Simulate tool group , and then click the Setup tool.
  2. On the Simulation Parameters dialog that appears, select the tab, Simulation Time.
  3. For the parameter, Final Time, enter 4*pi, which is twice the value of a sine wave period.
  4. Select the Solvers tab.
  5. From the Select a Solver pull down menu, select: LSODA, and then select OK.
    The LSODA solver is an efficient variable-step, variable-order ODE solver that is suitable for both stiff and non-stiff problems.

Simulating a Model and Plotting Data

Run and review the progress of a simulation with Scope plots.

  1. On the ribbon, from the Simulate tool group, click Run .
    The simulation finishes very quickly, and a Scope window appears with a plot of the simulation results. If you do not see a Scope window, double-click the Scope block in the diagram to display the window.
  2. The upper and lower limits of the Y-axis go far beyond the range of a unity magnitude sine wave. To fit the Scope window to the plot data, middle-mouse click.
  3. In the tree of the Project Browser, under Scopes & Plots, double-click SineIntegral/Scope; or right-click SineIntegral/Scope, and from the context menu, select Show.
    The Scope window appears.
  4. To close the Scope window, right-click, and then select Close.
  5. Experiment with opening the window again. In the tree of the Project Browser, under Scopes & Plots, double-click SineIntegral/Scope; or right-click SineIntegral/Scope, and from the context menu, select Show.
    The Scope window appears.
  6. Right-click, and then select Close.

Exporting a Signal to an OML Workspace

Manipulate data exported to the OML workspace.

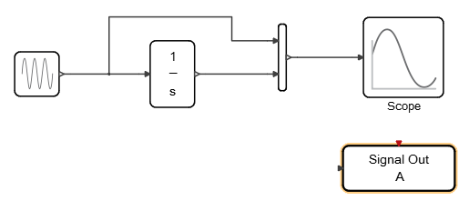
  1. In the diagram, replace the Scope block with a SignalOut block: from the Palette Browser, double-click the folders Activate > SignalExporters.
  2. Select, and then drag and drop a SignalOut block next to the diagram, but do not link it to the diagram.
  3. Select the SignalOut block, and then press Ctrl+ X.
  4. Select the Scope block, and then press Ctrl+V.
    The Scope block is cleared and replaced with the SignalOut block:
  5. Double-click the SignalOut block.
    The block dialog opens to the Parameters tab.
  6. As you see in the following figure, for Number of inputs, keep the default value of 1; for Variable name, enter 'data'; if selected, clear the External Activation check box.
  7. Click OK.
    The SignalOut block is updated in the diagram. The new variable name appears, and the red activation port at the top of block is removed. The block now inherits activation. If an incoming signal is present, the SignalOut block is activated.
  8. From the ribbon, select Run .
    The simulation results are written to a variable named “data” in the OML Command Window. If the OML Command Window is not open by default, from the menu bar, select View > OML Command Window. The variable is also listed in the Variable Browser. If you do not see the Variable Browser, from the menu bar, select View > Variable Browser.
  9. In the OML Command Window, enter the following command to plot a curve for the data in row x in respect to row y:
    x = data.ch{1}.data(1,:);
    y = data.ch{1}.data(2,:);
    plot(x,y);
    The following plot appears:
  10. Press Ctrl+S. In the Save Model As dialog that appears, for File name, enter SineIntegralSignalOut_practice.