Rappels sur les nombres complexes

Ecriture d'un nombre complexe

Un nombre complexe I peut s'écrire sous différentes formes :

  • sous sa forme cartésienne :

    I = Ir + j Ii

    avec :

    Ir : partie réelle de I

    Ii : partie imaginaire de I

    j : nombre imaginaire pur tel que j² = –1

  • sous sa forme polaire (ou exponentielle) :

    I = I m o d   e j ϕ

    avec :

    Imod : module de I

    ϕ : argument de I (ou phase)

    j : nombre imaginaire pur tel que j² = –1

Conjugué d'un nombre complexe

Le conjugué de I est défini par :

I* = Ir – j Ii

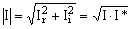
Module d'un nombre complexe

Le module de I est défini par :