Présentation

Présentation

Le Calcul des forces magnétiques surfaciques dans une machine tournante sur un maillage importé est comme le nom l'indique dédié aux machines tournantes et permet d'exporter les forces sur un maillage importé .

Ce maillage importé est le maillage « mécanique » venant d'HyperMesh/OptiStruct (ou autre). Ainsi, dans OptiStruct, l'utilisateur peut importer directement les forces sans nécessité d'interpolation / projection. Le workflow est alors simplifié et les résultats plus précis.

Cas d'utilisation

Ce calcul est disponible uniquement en application magnétique transitoire de Flux.

Le cas d'utilisation nominal est un moteur tournant à vitesse constante .

Dans ce cas, la duplication temporelle peut être gérée.

Il n'est pas interdit à l'utilisateur d'étudier un moteur à vitesse variable ou un moteur asynchrone. Mais dans ce cas, la période mécanique n'étant pas connue, le logiciel n'est pas en mesure de vérifier la validité de la plage de temps rentrée, ni de faire une duplication temporelle. L'utilisateur doit donc choisir la période pertinente pour son calcul.

Méthode de calcul

Les forces sont calculées à partir des forces magnétiques qui sont représentées sur une période mécanique.

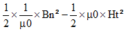
Les forces sont elles-mêmes calculées à partir des pressions magnétiques radiales et tangentielles au sein de l'entrefer. Les expressions des densités de forces sont présentées ci-dessous.

Composante normale :

Composante tangentielle :

Support importé et support de calcul final

L'utilisateur doit importer un support représentant le maillage mécanique 3D (extension OptiStruct ou Nastran). Ce support doit être cylindrique centré sur l'axe OZ (du repère global XYZ1), et basé sur le plan z=0 en 2D. De plus, le maillage importé doit être à l'interface de deux régions de perméabilités différentes. Par exemple : à l'interface entre le stator et l'entrefer, ou le rotor et l'entrefer.

Mais le calcul est réalisé à l'intérieur de l'entrefer puis projeté sur le support importé. Le rayon de calcul (dans l'entrefer) est demandé dans la boite de calcul de forces (voir le paragraphe Rayon de calcul dans l'entrefer et angle d'ouverture des encoches).
Note: Le logiciel Femap est également compatible avec cette méthose de calcul. Le logiciel génère le même maillage en fichier .DAT. Il suffit de le renommer en .BULK pour l'importer.