Panneau 4 : Générer le modèle pour Flux

Introduction

Ce panneau offre la possibilité d'exporter le modèle LS dans un format lisible par Flux. L'utilisateur peut aussi générer une carte des pertes fer de la tôle modélisée qui est une table contenant les estimations de pertes (en W/kg) pour l’échantillon modélisé.
Figure 1. Panel 4 : Générer le modèle pour Flux
L’autre fonctionnalité de ce panneau est d'afficher la courbe de première aimantation et la courbe anhystérétique du matériau. La courbe de première aimantation est la même que celle donnée par l'utilisateur dans le premier panneau (Panneau 1 : Identification statique) tandis que la courbe anhystérétique est construite par le MILS à partir des mesures chargées.
Note: La courbe de première aimantation correspond à la courbe B(H) employée par Flux en résolution, dès lors, le comportement hystérétique du matériau ne peut être pris en compte en résolution, cependant lors de la phase de post-processing, Flux évalue les pertes fer du modèle LS en reconstituant entièrement les cycles d'hystérésis.

Générer le modèle pour Flux

  • Étape 4.1: Remplir le nom du matériau dans le champ 4.1 dans la Figure 1.
    Note: Le nom ne doit contenir que des lettres, nombres ou tirets bas (pas d'espaces ou de ponctuation).
  • Étape 4.2: Renseigner la valeur de la masse volumique (kg/m3) dans le champ 4.2.
  • Étape 4.3: Remplir la valeur de l'épaisseur de la tôle (mm) dans le champ 4.3.
  • Étape 4.4: En cliquant sur le bouton Generate model for Flux étiqueté 4.5 dans la Figure 1, un explorateur de fichier s'ouvre afin de choisir le dossier où sauvegarder l'identification du modèle (fichier .mils). Ce fichier pourra être chargé avant résolution comme expliqué dans cette page : Matériau doux isotrope : Tôles décrites par le modèle LS
    Note: Un fichier secondaire est également créé et contient le résumé de l'identification.

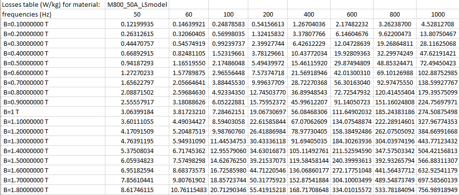
Exporter la carte d'une tôle magnétique.

La carte est une table donnant les valeurs des pertes fer (W/kg) pour plusieurs inductions crêtes (T) et plusieurs fréquences (Hz).

Pour créer cette carte, le MILS utilise l'identification réalisée précédemment pour reconstruire des boucles d'hystérésis en utilisant un signal d'induction magnétique sinusoïdal, les valeurs d'amplitudes et fréquences sont fixes (de 0.1T à 1.8T et de 50Hz à 1000Hz).

Procédure pour réaliser cet export :

  • Cliquer sur le bouton Generate loss map étiqueté 4.6 dans la Figure 1.
  • Choisir un nom et un chemin pour sauvegarder le fichier Excel.
Figure 2. Carte des pertes fer

Actions optionnelles du panneau

  • Sauvegarder ou charger une identification:Après une exécution des étapes 4.1 à 4.5, l'utilisateur peut sauvegarder les résultats de l'identification statique pour les réutiliser plus tard avec le bouton Save Identification, étiqueté 4.7 dans la Figure 1. Les résultats sont sauvegardés au format MAT (format du workspace Compose). Réversiblement, un fichier MAT contenant l'identification statique peut être chargé en cliquant sur le bouton Load Identification (identifié à 4.8 dans la Figure 1).
  • Rafraîchir le panneau: En cliquant sur le bouton Refresh Panel (étiqueté 4.6 dans la Figure 1), cette action effectue une remise à zéro des échelles du graphique et recharge les courbes.
  • Retour à la vérification générale: L'utilisateur peut effectuer un retour sur le panneau précédentPanneau 3 : Vérification générale en cliquant sur le panneau To verification. Ce bouton est étiqueté 4.9 dans la Figure 1.

Liens

Comment lancer l'outil MILS

Comment utiliser l'outil MILS pour générer un modèle LS

Panneau 1 : Identification statique

Panneau 2 : Identification dynamique

Panneau 3 : Vérification générale

Format des fichiers d'entrée et de sortie

Références bibliographiques

Matériau doux isotrope : Tôles décrites par le modèle LS