Mode conducteur tube : maillage
Introduction
Cette section détaille les quatre méthodologies de maillage disponibles pour les conducteurs tubes, ainsi que les paramètres que l'utilisateur est invité à renseigner pour leur mise en œuvre.
Maillage uniforme
La technique n'est pas mise en place de la même manière si la section du conducteur est rectangulaire, quelconque pleine ou quelconque creuse, comme il est décrit dans le tableau ci-dessous. Par conséquent, le paramétrage demandé à l'utilisateur varie d'un cas à l'autre.
| Section | Description |
|---|---|
| rectangulaire |
|
|
quelconque pleine |
Par conséquent le maillage global de la section peut devenir non conforme. |
|
quelconque creuse |
|
Maillage géométrique
Cette technique de maillage est disponible uniquement pour les sections rectangulaires et se révèle efficace surtout aux hautes fréquences.
L'utilisateur ayant choisi de mailler de manière géométrique une section de conducteur tube est invité à renseigner :
- les nombres n et m d'éléments PEEC selon lesquels subdiviser les deux cotés du profil (largeur et hauteur) ;
- les concentrations K (selon la largeur) et H (selon la hauteur) de ces éléments. Ces valeurs, qui doivent être positives, représentent le rapport entre la taille de deux éléments successifs.
Le logiciel Flux PEEC détermine automatiquement la taille de tous les éléments :
l'élément de base (a selon la largeur L et b selon la hauteur T) est calculé à l'aide des formules suivantes :
Le calcul de b s'appuie sur les mêmes formules où L, K, n sont remplacées respectivement par T, H et m.
Un exemple de maillage géométrique est montré dans la figure ci-dessous :
Il est à noter qu'avec une valeur de concentration égale à 1, l'utilisateur choisit en effet un maillage uniforme dans la direction considérée.
Il serait judicieux de la part de l'utilisateur de faire en sorte que la taille des éléments a et b soit comparable à l'épaisseur de peau, afin de bien modéliser les phénomènes électromagnétiques en jeu. Pour ce faire, il doit :
- choisir le nombre n d'éléments qu'il souhaite, par exemple 3, 4, 5, ou 6 ;
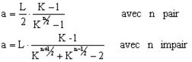
- calculer la valeur optimale de K à l'aide des formules suivantes :
où δ est l'épaisseur de peau qui peut être estimée par l'expression reportée au § Choix et définition de l'application.
Maillage automatique fonction de la fréquence
Cette technique se révèle la plus efficace, parce qu'elle conjugue une très bonne qualité des résultats obtenus à la minimisation du nombre de mailles.
La fréquence considérée par le logiciel Flux PEEC peut être la fréquence de référence du projet ou une autre choisie par l'utilisateur ; l'algorithme de maillage est identique.
La technique n'est pas mise en place de la même manière si la section est rectangulaire, quelconque pleine ou quelconque creuse, comme il est décrit ci-dessous.
| Section | Description | ||||||
|---|---|---|---|---|---|---|---|
| rectangulaire |
Le nombre d'éléments dans les deux directions de la section est imposé par le logiciel ; il est fonction de l'épaisseur de peau (et donc de la fréquence) et il est toujours inférieur ou égal à cinq. Les détails sont présentés dans le tableau ci-dessous :
|
||||||
| quelconque pleine |
En fonction de l'épaisseur de peau (et donc de la fréquence), le logiciel procède à l'emplacement des éléments du maillage de la manière suivante :
|
||||||
| quelconque creuse |
L'algorithme employé est très similaire à celui utilisé pour le maillage uniforme des sections quelconques creuses, sauf que :
|
||||||

