Interprétation des résultats

Courant de conduction et courant de déplacement

La densité de courant de conduction est donnée par le paramètre d'exploitation J2, qui correspond à la formule suivante :

La densité de courant total (courant de conduction et courant de déplacement) est donnée par le paramètre d'exploitation JT2, qui correspond à la formule suivante :

Puissances : aspect général

En ce qui concerne la puissance, il est possible de distinguer les grandeurs suivantes : la puissance apparente (S), la puissance active (P) ou la puissance réactive (Q). La puissance apparente complexe S s'écrit :

S = P + j Q

Dans Flux 3D, ces grandeurs s'expriment à l'aide des relations suivantes :

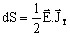
  • la densité de puissance apparente est donnée par la formule : qui s'écrit :
  • la densité de puissance active dP correspond à la partie réelle de dS : qui s'écrit :
  • la densité de puissance réactive dQ correspond à la partie imaginaire de dS : qui s'écrit :

Le calcul des grandeurs précédentes (puissance apparente (S), puissance active (P) ou puissance réactive (Q)) s'obtient avec la commande Intégrale (à l'aide des formules explicitées ci-dessus).

D'autres possibilités sont proposées à l'utilisateur pour le calcul de la puissance active et de la puissance réactive ; elles sont présentées dans les blocs suivants.

Puissance active

La densité de puissance active (valeur moyenne) en un point s'exprime à l'aide de E et j par la relation :

La puissance active (valeur moyenne) dans une région volumique est égale à :

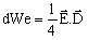
Energie électrostatique

La densité d'énergie électrostatique (valeur moyenne sur une période) en un point s'exprime à l'aide de D et E par la relation :

qui peut également s'écrire, pour un milieu linéaire, homogène, isotrope :

L'énergie électrostatique (valeur moyenne sur une période) dans une région volumique est égale à :

Puissance réactive

La relation qui relie la densité de puissance réactive (dQ) et la densité d'énergie électrique (dWe) est la suivante : dWe=dQ/2ω

La puissance réactive dans une région volumique est directement égale à : Q=2ωWe