Composants passifs : résistance, inductance, condensateur
Introduction
Les composants passifs sont de trois types :
- la résistance
- l'inductance
- la capacité (le condensateur)
Utilisation
Les composants passifs sont utilisables dans les applications Magnéto Harmonique et Magnétique transitoire.
Caractéristique
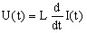
La caractéristique courant-tension pour chacun de ces différents composants est rappelée dans le tableau ci-dessous.
| Composant |
Caractéristique courant-tension |
Grandeur caractéristique |
Valeur initiale |
|---|---|---|---|
| résistance |
|
R est la valeur de résistance (en Ω ) | |
| inductance |
|
L est la valeur de l'inductance propre (en H) |
Courant initial I (t=0) |
| capacité (condensateur) |
|
C est la valeur de la capacité (en F) |
Tension initiale U (t=0) |
où :
- U(t) est la tension aux bornes du composant (en V)
- I(t) est le courant traversant le composant (en A)