Super Blocks

A super block is an encapsulation of multiple blocks into a single block.

When modeling large or complex systems that include multiple subsystems, super blocks are a viable option to avoid constructing diagrams with too many blocks on the same level, as such diagrams are difficult to read and debug. Super blocks also maximize the reusability of blocks as whole models, particular subsystems of models, and groups of blocks can be saved as super blocks, added to libraries and reused in new models.

Super blocks appear and act like regular blocks. They can be easily moved, copied, resized and edited just as regular blocks. Super blocks can contain an unlimited number of blocks, including other super blocks.

Creating Super Blocks

Group multiple blocks in a diagram to create a super block.

  1. Select a group of blocks in your model that you want to consolodate into a super block.
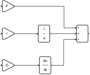
    The following figure shows an example diagram of a PID controller that is a good candidate to be a super block.

    Once added to a block library as a super block, the controller can be easily reused in other models.

  2. On the ribbon, select the Super Block tool: , or right-click and from the context menu, select Super Block.
    The selection of blocks is consolodated into a single super block:
    The new super block acts like a basic block. You can name it, define parameters for it, and save it for reuse in new models.

Navigating in Super Blocks

Navigate inside of a super block from the Project Browser or modeling window.

  • From the Project Browser, double-click a super block.
    The current model display clears, and the main diagram of the super block appears.
    Note: Navigation from the Project Browser is the same for masked and unmasked super blocks.
  • From the modeling window, select a super block and double-click it, or press Ctrl + double-click the super block.
    The model display clears, and the main diagram of the super block appears.
  • To clear the display of the super-block, in the blank space around the super block, double-click.
    The super block closes and the model display returns.

Expanding and Extracting Super Block Contents

Expand a super block and extract the contents into your model.

The Expand Super Block option expands a super block, copies the content into the current model, and eliminates the super block. The copied content remains selected so that you can move it freely to a desired location in the model. Any context associated with the primary super block is removed. This option does not apply to masked super blocks.
To activate Expand Super Block, select a super block, then press Ctrl+Alt+X. Alternatively, on the super block, right-click, and from the context menu, select Expand Super Block.
If the super block includes a context, a warning is issued that the context will be lost.