Supraconducteur : modèles avec dépendance en B
Loi en puissance avec dépendances en B
La densité de courant critique Jc et l'exposant n sont des grandeurs qui dépendent de l'induction magnétique B.
La forme générale de l'équation précédente est donc la suivante :
(3)
où :
- Ec est le champ électrique critique (en V/m)
- Jc(B) est la dépendance en B de la densité de courant critique (ci-après)
- n(B) est la dépendance en B de l'exposant (ci-après)
- ρ0 est la résistivité additionnelle (en Ω .m)
La dépendance en B de Jc et n peut s'écrire à l'aide de différents modèles comme cela est présenté dans les tableaux ci-dessous.
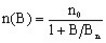
| Dépendance isotrope, modèle de Kim-Anderson | |
|---|---|
|
|
|
| 2 paramètres supplémentaires : BJc et Bn | |
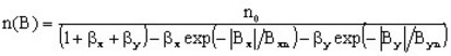
| Dépendance anisotrope, modèle de Kim-Anderson | |
|---|---|
|
|
|
| 4 paramètres supplémentaires : BxJc ByJc et Bxn Byn | |
| Dépendance isotrope, fonction exponentielle | |
|---|---|
|
|
| 4 paramètres supplémentaires : α β BJc et Bn | |
| Dépendance anisotrope, fonction exponentielle |
|---|
|
|
| 8 paramètres supplémentaires : αx αy βx βy BxJc ByJc et Bxn Byn |
| Dépendance isotrope, fonction polynomiale | |
|---|---|
|
|
|
| 2m paramètres supplémentaires : les αk βk | |