Magnéto Harmonique : équations résolues (modèle vecteur 2D)

Introduction

Le modèle vecteur est le modèle général proposé pour une application 2D.

Equation résolue en modèle vecteur (2D)

L'équation de Maxwell-Faraday : implique l'existence d'un potentiel scalaire électrique V tel que :

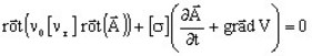
L'équation résolue par la méthode des éléments finis dans une application Magnéto Harmonique par la méthode des éléments finis s'écrit :

qui peut s'écrire avec la notation complexe (d/dt est remplacé par ):

où:

  • r] est le tenseur de réluctivité du milieu
  • ν0 est la réluctivité du vide; ν0 = 1/μ0 = 1/(4 π 10-7) (en m/H)
  • est le potentiel vecteur complexe magnétique (en Wb/m)
  • [σ] est le tenseur de conductivité du milieu (en S)
  • V est le potentiel scalaire électrique (en V)

Variable d'état modèle vecteur (2D)

Les variables d'état sont :

  • le potentiel vecteur complexe magnétique
  • le potentiel scalaire électrique V

La variable d'état, en fonction du type de problème (plan ou axisymétrique), est donnée dans le tableau ci-dessous.

Type de problème

Variable d'état

Notation

plan An AN2*
axisymétrique r.An RAN2*
Note: * L'indice 2 signifie que la grandeur est une grandeur complexe.