Introduction / exemples

Définition

Un régime est dit variable ou transitoire quand la variable d'état (inconnue du système) est fonction du temps. Deux exemples sont présentés dans les blocs suivants.

Exemple 1 (thermique)

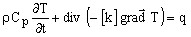
L'équation résolue par la méthode des éléments finis dans une application Thermique Transitoire est l'équation suivante:

où :

  • [k] est le tenseur de conductivité thermique
  • ρCp est la capacité calorifique volumique
  • q est la densité volumique de puissance thermique source
  • T est la température (variable d'état / inconnue du système)

Dans cet exemple, la température T est fonction du temps (équation différentielle du premier ordre).

Exemple 2 (magnétique)

L'équation résolue par la méthode des éléments finis dans une application Magnétique Transitoire peut s'écrire (modèle vecteur) :

où:

  • [ν] est le tenseur de réluctivité magnétique du milieu
  • [σ] est le tenseur de conductivité du milieu
  • est la densité de courant source
  • est le potentiel vecteur (variable d'état / inconnue du système)

Dans cet exemple, le potentiel vecteur A est fonction du temps (équation différentielle du premier ordre).

Discrétisation des équations

L'intégration de l'équation différentielle conduit à une discrétisation du temps. Le temps est découpé en petits intervalles de temps (les pas de temps) pendant lesquels on peut admettre que les grandeurs ont une variation linéaire.