Exemple 2D : calcul de la force électromagnétique de Laplace
Introduction
Ce paragraphe détaille le calcul des composantes moyennes et pulsatoire de la force de Laplace en 2D.
Définition : rappel
La force électromagnétique de Laplace est la force qui s'exerce sur un conducteur parcouru par un courant électrique placé dans un champ magnétique.
Expression mathématique
La force exercée sur un conducteur peut se calculer à l'aide de la loi de Laplace :
où :
-
est le champ d'induction magnétique dans lequel
est plongé la bobine -
est la densité de courant dans le
conducteur
Expression des composantes moyennes et pulsatoires
L'induction magnétique et la densité de courant en un point s'expriment de la façon suivante :
- L'induction magnétique
s'écrit :Ce qui est l'équation paramétrique d'une ellipse (cf figure ci-contre)
-
la densité de courant
s'écrit :
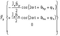
La force en un point vaut donc :
Expression des composantes moyennes et pulsatoires (suite)
La force est donc constituée :
- d'une composante moyenne :

- d'une composante pulsatoire :

Représentation elliptique
La force peut se représenter spatialement comme cela est présenté sur la figure ci-dessous.
- La composante moyenne
est définie par :- son module et son orientation par rapport à Ox (angle α)
- La composante pulsatoire
décrit une ellipse à la pulsation 2ω :- demi grand axe : a
- demi petit axe : b
- orientation de l'ellipse par rapport à Ox (angle β)