Critère de Streamer

Claquage diélectrique

Un claquage diélectrique peut survenir dans un domaine diélectrique lorsque la différence de potentiel appliquée est supérieure à la tension de claquage. Cela s'illustre par l'apparition d'un arc électrique au sein du milieu diélectrique, ce qui peut détruire définitivement le dispositif.

Plusieurs applications sont concernées par ce type de problématique : appareillage de commutation à isolation gazeuse, appareillage à isolation par air, câbles dans l'air ambiant, traversée isolée, batterie de condensateurs, etc.

La simulation complète de tout processus physique résultant d'un phénomène de décharge électrique est hautement complexe (équation de Boltzmann, modèles dérive-diffusion…), et non applicable à ce jour pour déterminer la tension de claquage dans les dispositifs industriels, en raison de la complexité et du temps de calcul.

Le critère de Streamer ne peut être considéré comme une simulation complète du processus de claquage dans les gaz. Il ne s'agit que d'un critère qui est appliqué sur le champ obtenu par un calcul électrostatique (c'est-à-dire le champ environnant, avant toute apparition de phénomène de décharge)*.

Ce critère donne une estimation de la tension limite qui peut déclencher le processus d'avalanche électronique pouvant entrainer un claquage diélectrique dans le gaz.

Cette tension est appelée « tension de création de Streamer ».

Note: *Référence : A. Pedersen, T. Christen, A. Blaszczyk, H. Boehme, 2009, “Streamer inception and propagation models for designing air insulated power devices”, Proceedings IEE Conference on electrical insulation and dielectric phenomena

Streamer

Le « streamer » est un phénomène qui arrive juste avant le claquage complet.

Des canaux ionisés et conducteurs apparaissent et se propagent dans le gaz diélectrique. Initialement, un premier électron est accéléré par le champ électrique, puis entre en collision avec les molécules et atomes environnants du gaz, avec assez d'énergie pour les ioniser. De nouveaux électrons sont générés, et sont alors accélérés à leur tour par le champ électrique, créant également des canaux d'ionisation. Cela peut être vu comme une réaction en chaîne : le processus d'avalanche électronique.

Critère de Streamer : modèle mathématique

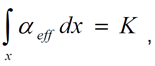
Le principe du critère de Streamer est basé sur l'intégration d'un coefficient effectif d'ionisation (alpha_eff) du gaz considéré, le long du chemin le plus probable pour le claquage, entre les deux contacts électriques.

Ces contacts sont à différents potentiels électriques (typiquement, un contact est à haute tension, et l'autre à la masse).

Le coefficient effectif d'ionisation aeff est défini par une formule mathématique obtenue par fittage sur des courbes expérimentales (en général, une fonction polynômiale). De ce fait, elles ne sont valables que dans les conditions physiques de l'expérience réalisée et dans une certaine fourchette de champ électrique choisie pour le fittage. Dans la littérature plusieurs formules mathématiques existent alors pour un même gaz. L'utilisateur doit choisir la formule adaptée au dispositif étudié.

Le critère est donné par la formule :

Où:

αeff est le coefficient effectif d'ionisation du gaz

x est la coordonnée sur le chemin critique

K est la constante d'ionisation. Une valeur commune de K est de 18

Critère de Streamer : Importance du chemin

La définition du chemin le plus probable a une grande influence sur l'application du critère, et doit par conséquent être choisi avec précaution.

Généralement, le chemin commence à partir de la zone où le champ est élevé sur un des contacts, et suit la ligne de champ à partir de ce point. Il existe des chemins alternatifs à forte probabilité.

Critère de Streamer : Distribution du champ électrique

Il existe deux configurations pour le calcul d'intégrale en fonction de la distribution du champ électrique dans le milieu :

  • Champ électrique homogène : le calcul de K est fait en intégrant αeff sur tout le chemin
  • Champ électrique non homogène diminuant en dessous d'une valeur seuil pour laquelle est nul (2.6kV/mm pour l'air): le calcul de K est fait en intégrant αeff jusqu'à ce que αeff soit égal à 0. Dans certains cas, la valeur de l'intégrale des valeurs positives de αeff à proximité du conducteur à potentiel élevé est inférieure à celle des positifs αeff à proximité du conducteur à potentiel inférieur. Dans ce cas, la seconde intégrale est considérée et le Streamer a une plus grande probabilité d’apparaître du côté du conducteur à potentiel inférieur.

Cas d'un champ électrique non homogène :

Critère de Streamer : Dichotomie

Etant donné que la loi entre le champ électrique et le potentiel électrique est linéaire, une dichotomie est appliquée sur le champ électrique jusqu'à ce que K soit égal à la valeur seuil. Cela permet de trouver la tension de création de Streamer sur le chemin considéré.

Critère de Streamer : limites

Le critère de Streamer ne fait que donner une estimation de la tension nécessaire pour initier le processus d'avalanche électronique dans les gaz (Tension de création de Streamer). Cela peut être utilisé pour estimer la tension de claquage pour des dispositifs alimentés en continu ou alternatif (quasi statique), mais les résultats ne sont pas totalement garantis : les processus physiques de décharges ne sont pas entièrement simulés, différentes courbes d'ionisation données par différents auteurs existent et ne sont valables que pour certaines conditions physiques, certains détails ne sont pas pris en compte dans la simulation (par exemple la rugosité des surfaces de contact), et le chemin a beaucoup d'influence sur les résultats.

De plus, le critère de Streamer n'est pas directement applicable pour les tests à tension d'impulsion (tests de choc de foudre), où une correction doit être appliquée sur les résultats, basée sur l'expérience de l'utilisateur.

Les utilisateurs de cette nouvelle fonctionnalité de Flux sont invités à utiliser les résultats de ce critère comme des données indicatives, utiles pour optimiser les géométries diélectriques, mais en se rappelant que les résultats obtenus doivent être comparés avec des mesures pour la validation finale.

Références

Pour plus d'informations sur les aspects physiques, notamment sur les modèles mathématiques utilisés dans Flux (Air et SF6), veuillez lire les références suivantes : W.S. Zaengl and K. Petcharaks, “Application of Streamer breakdown criterion for inhomogeneous fields in dry air and SF6”, Swiss Federal Institute of Technology (Zürich)