Courbe 2D : dérivée

Introduction

L'utilisateur peut représenter le résultat du calcul de la dérivée des fonctions de grandeurs spatiales ou de paramètres entrée/sortie en forme de courbes.

Fonctionne- ment

Les courbes de la dérivée sont générées de la façon suivante :

Phase Description
1 La commande Dérivée d'une courbe 2D est appliquée à une courbe élémentaire ou à un ensemble des courbes élémentaires de l'entité courbe 2D
2 La fonction de chaque courbe analysée est construite par le calcul de la dérivée en chaque point de l'intervalle de définition de la courbe
3 Les nouvelles courbes élémentaires sont rajoutées à l'ensemble des courbes déjà existantes de la courbe 2D

Principe

La dérivée est calculée à partir de la fonction représentée par la courbe existante. Le principe est celui de la dérivée à gauche.

Soit une courbe représentant une fonction f, le calcul de la dérivée est donc en chaque point :

Le nombre de points de la courbe de la dérivée est égal à celui de la courbe initiale moins 1.

Ainsi donc :

La 1ère abscisse de la courbe de la dérivée correspond à la 2ème abscisse de la courbe initiale, la 2ème abscisse de la courbe de la dérivée correspond à la 3ème abscisse de la courbe initiale, etc.

Il faut que les valeurs en abscisse soient strictement croissantes (b>a).

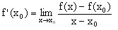
Dérivée à gauche : rappel

La dérivée à gauche de f en est égale à :

Calculer la dérivée d'une courbe 2D

Pour calculer (et tracer) la dérivée d'une courbe 2D, suivre les instructions suivantes :

Etape Action
1

Dans le menu Courbe > Courbe2D (…) :

  • cliquer sur Dérivée d'une courbe 2D
Une boite de sélection est ouverte
2

Dans la boîte de sélection :

  • choisir une entité courbe 2D
3

Dans la boîte Dérivée d'une courbe 2D :

  • choisir la/les courbe(s) à analyser
Une ou plusieurs courbes de l'intégrale sont calculées et affichées dans la feuille de la courbe 2D