Presentation

Presentation

As the name says, the “computation of surface magnetic forces on rotating machine imported mesh” is dedicated to rotating machines and it allows exporting the forces on an imported mesh .

This imported mesh is the “mechanical” mesh coming from HyperMesh/OptiStruct (or other software). Consequently, in OptiStruct, user can import directly the forces without interpolation or projection. The workflow is simplified and the results more accurate.

Use case

This computation is available only in transient magnetic application in Flux.

The main use case is a motor operating in constant speed.

In this case, the time duplication can be carried out.

It is not forbidden to study variable speed motor or induction motor. But as the mechanical period is unknown, Flux can't verify the time interval entered by user and can't apply the time duplication.

Computation method

The forces are calculated starting from the magnetic forces that are represented on a mechanical period.

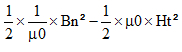
The forces are themselves calculated starting from the magnetic radial and tangent pressures within the airgap.The forces densities are presented below.

Normal component :

Tangential component :

Imported support and computation support

User must import a support representing the 3D mechanical mesh (Nastran or OptiStruct format). This support must by cylindrical centred on OZ axis (in XYZ1 coordinate system), and based on the z=0 plane in 2D. Plus, this support must be at the interface of two regions of different permeabilities. For example: at the interface between the stator and the airgap, or between the rotor and the airgap.

The calculation is carried out at the interior of the airgap and then it is projected on the imported support. The radius within the airgap is asked for in the force computation box (see the paragraph below

Computation radius in airgap and slots opening angle).

Note: The Femap software is also compatible with this force computation method. This software generates the same mesh in the file .DAT. It is sufficient to rename it as .BULK in order to import it.