Magneto Static: solved equations (vector model 2D)

Introduction

The vector model is the general model proposed for 2D applications.

This model is used by default (automatically) by:

  • the 2D solver of Flux 2D
  • the 3D solver of Flux 3D for solving a 2D application

Equation solved with vector model (2D applications)

The Gauss law for magnetism, , allows the introduction of a magnetic vector potential , such as:

The equation solved by the finite elements method in a Magneto Static application is written:

where:

  • r] is the tensor of the relative reluctivity of the medium
  • ν0 is the magnetic reluctivity of the vacuum, ν0 = 1/μ0 = 1/(4 π 10-7)

    (in m/H)

  • is the vector potential (in Wb/m)
  • is coercive magnetic field (permanent magnets) (in A/m)
  • is the density of current source (in A/m2)

State variable, vector model (2D applications)

The state variable in 2D applications is the magnetic vector potential .

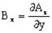
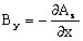
The magnetic field B is written :

and :

; ;

In 2D problems, the vector has a non null component, the normal component to the plane of figure; let An (or Az)

The magnetic field B is written:

; ;

The state variable, dependent on the problem type, plane 2D or axisymmetric 2D, is given in the table below.

Type of the problem State variable

Notation

(in Flux 3D)

plane An AN1*
axisymmetric rAn RAN1*
Note: *Index 1 means that the quantity is a real quantity.