2D example: computation of Laplace's electromagnetic force
Introduction
This section depicts the computation of the mean and pulsating components of Laplace's force in 2D.
Definition: reminder
The Laplace's electromagnetic force is the force exerted on a conducting conductor placed in a magnetic field.
Mathematical expression
The force exerted on a conductor can be computed using Laplace's law:
where:
-
is the magnetic flux density in which the conductor
is placed -
is the current density in the conductor
Expression of the mean and pulsating components of Laplace's force
The magnetic flux density and the current density in a point are expressed in the following way:
- Magnetic flux density
is written:
That is the parametric equation of an ellipse (see the figure beside)
- the current density
is written:
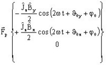
Thus , the expression of the Laplace's force in a point is:
Expression of the mean and pulsating components (continued)
Hence, the Laplace's force is constituted by:
- a mean component :


- a pulsating component :


Elliptical representation
The force can be spatially represented as that in the figure below.
- The mean component
is defined by:- its modulus and its orientation with respect to the Ox axis( α angle)
- The pulsating component
described by an ellipse of 2ω pulsation:- major axis: a
- minor axis: b
- orientation of the ellipse with respect to the Ox (β angle)