Skin effect and mesh

Skin effect: reminder

The expression of the skin effect (or pellicular effect) pertains to the phenomena which occur when time varying currents are flowing through a conductor.

The AC electric currents are not uniformly distributed in the conductor cross-section. There is a concentration of current lines towards the outer surface of the conductor, this effect becoming more significant as the current frequency (velocity of current variation) increases.

This happens when the value of either the frequency (f), or the permeability (μ), or those of the electric conductivity (σ) are high.

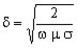
Skin depth: definition

If the material has linear, homogeneous and isotropic properties, the medium value of “skin” depth in which the electric currents flow can be calculated using the following formula:

where:

  • ω is the current pulsation (ω =2 π f)
  • μ is the medium permeability
  • σ is the conductivity of medium

Mesh of the “skin” region: rule to observe

The physical quantities of the electric current or the magnetic field are exponentially decreasing in the skin depth, if this region is flat.

In order to have an accurate evaluation of the physical quantities in the “skin” region at the surface of the conductor: you must to have at least two layers of elements (of second order) in the thickness of this region.

A mesh example of the skin depth region is presented in the figure to the right.

!!! Pronounced skin effect !!!

If the skin effect is pronounced, mesh problems appear. Indeed, it becomes too difficult to adhere to the above mesh rule without drastically increase the number of elements. We deal with a pronounced skin effect when the electromagnetic field penetration and the value of the skin depth δ become too small in relation to the characteristic dimensions of the conductors: δ <<{L, r}, where L is the length or width, and r is the curvature radius of the conductor.

For 3D applications, see § Surface impedance condition (3D).