Streamer criterion

Dielectric breakdown

A dielectric breakdown can occur in a dielectric gas when the applied potential difference is higher than the breakdown voltage. It is illustrated by the apparition of an electric arc in the dielectric area which can destroy definitively the device.

Several applications are concerned, for example: Gas Insulated Switchgears, Air insulated switchgears, cables in ambient air, bushings, capacitors banks, etc.

The complete simulation of every physical processes yielding to an electrical discharge development is highly complex (Boltzmann equations, drift-diffusion models…), and not applicable yet to determine the breakdown voltage value in real industrial devices, due to their complexity and calculation time.

The streamer criterion do not intend to be a complete simulation of the breakdown process in gases, it is only a criteria that is applied on the field obtained by an electrostatic simulation (i.e. the background field, before any discharge phenomena occurrence)*.

This criterion gives an estimation of the threshold voltage that can trigger the electronic avalanche process leading to an electrical breakdown in the gas. This voltage is called “Streamer inception voltage”.

Note: *Reference : A. Pedersen, T. Christen, A. Blaszczyk, H. Boehme, 2009, “Streamer inception and propagation models for designing air insulated power devices”, Proceedings IEE Conference on electrical insulation and dielectric phenomena

Streamer

The streamer is a phenomenon that occurs just before the full breakdown. Ionized and conductive canals appear and spread in the dielectric gas. Initially, a first electron is accelerated by the electric field, and enters in collision with the surrounding gas molecules and atoms, with enough energy to ionize them. New electrons are generated, and then they are accelerated again by the field, creating also new ionized canals. This can be seen as a chain reaction: the electronic avalanche process.

Streamer criterion : mathematical model

The principle of the streamer criterion is based on the integration of the effective ionization coefficient (alpha_eff) of the considered gas, along the most probable path for the breakdown, between the two electrical contacts. These contacts are energized at different electrical potentials (typically one contact is energized at high voltage, the other one is earthed).

The effective ionization coefficient aeff is defined by a mathematical formula obtained by fitting experimental curves (in general, polynomial function). Therefore, the curves are valid only in the experience conditions and in a defined field range chosen for the fitting. In the literature, several mathematical formula exist for a same gas. User has to choose the formula adapted to his device.

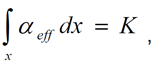
The criterion is given by the formula:

Where:

α eff it the effective ionization coefficient of the gas

x is the coordinate on the critical path

K is the ionization content. A common value of K is 18.

Streamer criterion: Path importance

The most probable path definition has a huge influence on the criterion application, and must be determined with care.

Generally, the path starts from high field area on one of the contacts, and is following field line from this point. Alternative most probable paths exist also.

Streamer criterion: Electric field distribution

There are two configurations for the integral computation depending on electric field distribution in the dielectric media:

  • Homogenous electric field: The computation of K is done by integrating αeff on all the path
  • Inhomogeneous electric field decreasing below a threshold value corresponding to αeff equal to zero (2.6kV/mm for the air): The computation of K is done by integrating αeff until αeff is equal to 0. In some cases, the integration value of the positive αeff near the high potential conductor is lower than the integration of the positive αeff near the low potential conductor. In that case, the second integral is considered and the Streamer has a higher probability to start from the lower potential conductor.

Inhomogeneous electric field case:

Streamer criterion: Dichotomy

As the law between the electric field and the electric potential is linear, a dichotomy is applied on the electric field until K is equal to the threshold. It allows finding the Streamer inception voltage on the considered path.

Streamer criterion: limits

The streamer criteria gives only an estimation of the voltage needed to initiate the electronic avalanche process in gases (Streamer inception voltage). It can be used to estimate the breakdown voltage in DC or AC (almost static) cases, but the results are not fully guaranteed: discharges physical processes not fully simulated, different ionization curves available from different authors valid in certain physical conditions, some details not included in the simulation as for example roughness of the contacts, and the path definition has a very high influence on the results.

It is also well known that the streamer criteria is not directly applicable for impulse voltage tests (typically Lightning impulse tests), where a correction must be applied on the results, based on the user experience.

Users of this new Flux feature are invited to use the criteria results as an indicative tool, useful to optimize dielectric geometries, but keeping in mind that the obtained results must be compared with real experimental data for the final validation.

References

For more information on physical aspects, especially for the mathematical models used in Flux (Air and SF6), please read the following references:

W.S. Zaengl and K. Petcharaks, “Application of Streamer breakdown criterion for inhomogeneous fields in dry air and SF6”, Swiss Federal Institute of Technology (Zürich)