2D curve: derivative

Introduction

The user can represent the result of derivatives calculated from functions of spatial quantities or input/output parameters in the form of curves.

Operation

The curves of derivatives are created as follows:

Stage Description
1 The Derivative of a 2D curve command is applied to an elementary curve or a set of elementary curves of the 2D curve entity.
2 The function representing the derivative of each analyzed curve is constructed by the calculation of the derivative at each point of the interval of the curve definition.
3 The new elementary curves are added to the already available curves of the 2D curve entity.

Principle

The derivative is calculated starting from the function represented by the analyzed curve. The backward derivative principle is used.

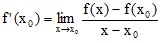
Given a curve representing the function f(x), the calculation of the derivative in each point is carried out as follows:

The number of points of the curve representing the derivative is the same as that of the initial curve minus 1.

Thus:

The 1st abscissa of the curve representing the derivative corresponds to the 2nd abscissa of the initial curve; the 2nd abscissa of the curve representing the derivative corresponds to the 3rd abscissa of the initial curve, etc.

The abscissa values must be strictly increasing ones (b>a).

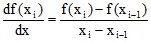
Backward derivative: reminder

The backward derivative of the function f in is equal to:

Calculate the derivative of a 2D curve

To calculate (and plot) the derivative of a 2D curve, follow instructions below:

Step Action
1

In the menu Curve > 2D curve (…):

  • click on Derivative of a 2D curve
A selection box opens
2

In the selection dialog:

  • choose the 2D curve entity
3

In the Derivative of a 2D curve dialog:

  • choose the elementary curve(s) to be analyzed
The curves of the derivative are calculated and displayed in the 2D curve sheet.