Passive components: resistor, inductor, capacitor
Introduction
The passive components are of three types:
- the resistor
- the coil
- the capacitor
Utilization
The passive components are used in the Steady State AC Magnetic and the Magnetic Transient applications.
Characteristic
The current-voltage characteristic for each of these different components is mentioned again in the table below.
| Component |
Current-voltage characteristic |
Characteristic quantity | Initial value |
|---|---|---|---|
| resistor |
|
R is the value of the resistance in (in Ω ) | |
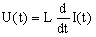
| coil |
|
L is the value of the coil inductance (in H) |
Initial current I (t = 0) |
| capacitor |
|
C is the value of the capacitance (in F) |
Initial voltage U (t = 0) |
where:
- U(t) is the voltage at the terminals of the component (in V)
- I(t) is the current flowing through the component (in A)