Percentile
The selected percentile.
Percentile
is
the value of the P-th percentile of an ascending ordered data set containing
N elements with values
.
There are two steps to compute for Percentile.
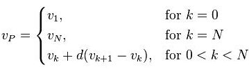
Computing the Percentile
-
Calculate the rank:

The rank is then split into its integer component k and decimal component d, such that
.
-
Use the formula below to calculate
as:

Sample 1:
Consider the ordered list of values 15, 20, 35, 40, 50. What is the 40th percentile of this list?
Computing the Percentile
-
Calculate the rank of the 40th percentile as follows:

Thus, n=2.6, which gives us k=2 and d=0.6.
-
Calculate the value of the 40th percentile.

Thus, the value of the 40th percentile of the ordered list 15, 20, 35, 40, 50 is 29.
Sample 2:
Consider the ordered list 1,2,3,4. What is the 75th percentile of this list?
Computing the Percentile
-
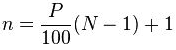
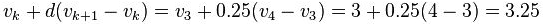
Calculate the rank of the 75th percentile as follows.
N = 75/100(4-1) + 1 = 3.25
Thus, n=3.25, which gives us k=3 and d=0.25.
-
Calculate the value of the 75th percentile.

Thus, the value of the 75th percentile of the ordered list 1,2,3,4 is 3.25.
Sample 3:
Given the following sample fields:
|
Number |
Arbitrary |
Negative Values |
Positive Values |
One |
Binary |
Currency |
Decimal |
|
1 |
3 |
-1 |
1 |
1 |
0 |
$1.00 |
1.01 |
|
2 |
2 |
-2 |
2 |
|
1 |
$10.00 |
2.02 |
|
3 |
3 |
-3 |
3 |
|
0 |
$100.00 |
3.03 |
|
4 |
0 |
-4 |
4 |
|
1 |
$1,000.00 |
4.04 |
|
5 |
-1 |
-5 |
5 |
|
0 |
$10,000.00 |
5.05 |
|
6 |
-2 |
-6 |
6 |
|
1 |
-$1.00 |
6.06 |
|
7 |
-3 |
-7 |
7 |
|
0 |
-$10.00 |
7.07 |
|
8 |
0 |
-8 |
8 |
|
|
-$100.00 |
8.08 |
|
9 |
0 |
-9 |
9 |
|
|
-$1,000.00 |
9.09 |
|
10 |
0 |
-10 |
0 |
|
|
$0.00 |
0.00 |
Sample fields
The 50th Percentile value for each field in the table:
|
Number |
Arbitrary |
Negative Values |
Positive Values |
One |
Binary |
Currency |
Decimal |
|
5.50 |
0.00 |
-5.50 |
4.50 |
1.00 |
0.00 |
0.50 |
4.55 |
Results per field


