Energy Variation Within a Time Step

Let T ( t δ t ) the temperature, P ( t δ t ) the pressure, and V ( t δ t ) the volume of the airbag at time t δ t , and m ( i ) the mass of gas i at time t δ t . T ( t ) , P ( t ) , V ( t ) are respectively temperature, pressure and volume of the airbag at time t , and m (i)   + δ m in (i) δ m out (i) the mass of gas i at time t .

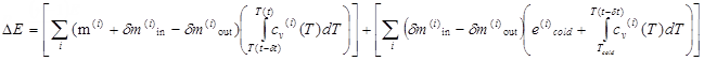
Using , the variation of total gas energy can be written as:(1)
Δ E = [ i ( m (i) + δ m ( i ) in δ m ( i ) out ) ( e ( i ) c o l d + T c o l d T ( t ) c v ( i ) ( T ) d T ) ] [ i m ( i ) ( e ( i ) c o l d + T c o l d T ( t δ t ) c v ( i ) ( T ) d T ) ]
which can be written as: (2)
On the other hand, the basic energy equation Thermodynamical Equations, Equation 1 of the airbag and the expression of enthalpy in Thermodynamical Equations, Equation 5 gives:(3)
Δ E = [ i δ m ( i ) i n ( e ( i ) c o l d + R M ( i ) T ( i ) i n + T c o l d T ( i ) i n c v ( i ) ( T ) d T ) ] [ i δ m ( i ) o u t ( e ( i ) c o l d + R M ( i ) T ( i ) o u t + T c o l d T ( i ) o u t c v ( i ) ( T ) d T ) ] δ W

Where, δ m in (i) and T ( i ) i n are characteristics of the inflator and are considered as input to the problem. δ m out (i) and T ( i ) o u t can be estimated from the velocity at vent hole u ( t ) . δ W is the variation of the external work. This estimation will be described hereafter.

It comes from Equation 1 and Equation 2:(4)
i ( m ( i ) + δ m ( i ) i n δ m ( i ) o u t ) T ( t δ t ) T ( t ) c v ( i ) ( T ) d T = [ i δ m i n ( i ) ( R M ( i ) T ( i ) i n + T ( t δ t ) T i n ( i ) c v ( i ) ( T ) d T ) ] [ i δ m o u t ( i ) ( R M ( i ) T o u t ( i ) + T ( t δ t ) T o u t ( i ) c v ( i ) ( T ) d T ) ] δ W
The variation of the external work can be written as:(5)
δ W = ( P ( t ) + P ( t δ t ) ) 2 ( V ( t ) V ( t δ t ) )
Using Thermodynamical Equations, Equation 9, the last expression can be written as:(6)
δ W = 1 2 ( [ i m ( i ) + δ m ( i ) i n δ m ( i ) o u t M ( i ) ] R T ( t ) V ( t ) + [ i m ( i ) M ( i ) ] R T ( t δ t ) V ( t δ t ) ) ( V ( t ) V ( t δ t ) )
The last equation can be introduced to Equation 4:(7)
[ i ( m ( i ) + δ m ( i ) i n δ m ( i ) o u t ) T ( t δ t ) T ( t ) c v ( i ) ( T ) d T ] + [ i m ( i ) + δ m ( i ) i n δ m ( i ) o u t M ( i ) ] R T ( t ) V ( t ) V ( t δ t ) 2 V ( t ) = [ i δ m ( i ) i n ( R M ( i ) T ( i ) i n + T ( t δ t ) T ( i ) i n c v ( i ) ( T ) d T ) ] [ i δ m ( i ) o u t ( R M ( i ) T ( i ) o u t + T ( t δ t ) T ( i ) o u t c v ( i ) ( T ) d T ) ] [ i m ( i ) M ( i ) ] R T ( t δ t ) V ( t ) V ( t δ t ) 2 V ( t δ t )
The first order approximation T ( t δ t ) T ( t ) c v ( i ) ( T ) c v ( i ) ( T | t δ t ) ( T ( t ) T ( t δ t ) ) for each gas, which allows rewrite Equation 7 as:(8)
[ i ( m ( i ) + δ m ( i ) i n δ m ( i ) o u t ) c v ( i ) ( T | t δ t ) ( T ( t ) T ( t δ t ) ) ] + [ i m ( i ) + δ m ( i ) i n δ m ( i ) o u t M ( i ) ] R T ( t ) V ( t ) V ( t δ t ) 2 V ( t ) = [ i δ m ( i ) i n ( R M ( i ) T ( i ) i n + T ( t δ t ) T ( i ) i n c v ( i ) ( T ) d T ) ] [ i δ m ( i ) o u t ( R M ( i ) T o u t + T ( t δ t ) T ( i ) o u t c v ( i ) ( T ) d T ) ] [ i m ( i ) M ( i ) ] R T ( t δ t ) V ( t ) V ( t δ t ) 2 V ( t δ t )

Which allows to determine the actual temperature T ( t ) . The actual pressure then computed from the equation of perfect gas (Thermodynamical Equations, Equation 9).