Stdevp
The Population Standard Deviation of the selection.
The Stdevp deals with the complete population where as Stdev deals with a population sample only.
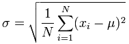
The formula:

Sample 1:
Population: A set of data that is all inclusive.
Populations are often very large. For simplicity, imagine the following as an example:
12,6,12
Compute the Stdevp:
Steps:
1. Determine the mean of the sample
12+6+12/3=10
2. Square the difference between each item and the mean
(12-10)^2 =4
(6-10)^2 =16
(12-10)^2 =4
3. Calculate the average
4+16+4/3=24/3
4. Calculate the square root
√8 or 2.8284
Sample 2
Given the following sample fields:
|
Number |
Arbitrary |
Negative Values |
Positive Values |
One |
Binary |
Currency |
Decimal |
|
1 |
3 |
-1 |
1 |
1 |
0 |
$1.00 |
1.01 |
|
2 |
2 |
-2 |
2 |
|
1 |
$10.00 |
2.02 |
|
3 |
1 |
-3 |
3 |
|
0 |
$100.00 |
3.03 |
|
4 |
0 |
-4 |
4 |
|
1 |
$1,000.00 |
4.04 |
|
5 |
-1 |
-5 |
5 |
|
0 |
$10,000.00 |
5.05 |
|
6 |
-2 |
-6 |
6 |
|
1 |
-$1.00 |
6.06 |
|
7 |
-3 |
-7 |
7 |
|
0 |
-$10.00 |
7.07 |
|
8 |
0 |
-8 |
8 |
|
|
-$100.00 |
8.08 |
|
9 |
0 |
-9 |
9 |
|
|
-$1,000.00 |
9.09 |
|
10 |
0 |
-10 |
0 |
|
|
$0.00 |
0.00 |
Sample fields.
The Stdevp for each field:
|
Number |
Arbitrary |
Negative Values |
Positive Values |
One |
Binary |
Currency |
Decimal |
|
2.8723 |
1.6733 |
2.8723 |
2.8723 |
0 |
0.4949 |
$3,033.4832 |
2.9010 |
The results per field.


